
1、本章规定适用于不直接承受动力荷载,在节点处直接焊接的钢管(圆管、方管或矩形管)桁架结构。 2、圆钢管的外径与壁厚之比不应超过100(235f y );方管或矩形管的最大外缘尺寸
查看详情一、钢管节点的构造应符合下列要求: 1、主管的外部尺寸不应小于支管的外部尺寸,主管的壁厚不应小于支管壁厚,在支管与主管连接处不得将支管插入主管内; 2、主管与支管或两主
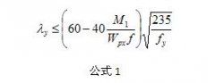
查看详情1、受压构件的长细比不宜大于130235/f y 。 2、在构件出现塑性铰的截面处,必须设置侧向支承。该支承点与其相邻支承点间构件的长细比 y 应符合下列要求: 当-1M 1 /W px f0.5时: 当0.5M
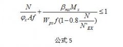
查看详情1、弯矩M x (对H形和工字形截面x轴为强轴)作用在一个主平面内的受弯构件,其弯曲强度应符合下式要求: M x W pnx f 公式1 式中 W pnx 对x轴的塑性净截面模量。 2、受弯构件的剪力V假定
查看详情1、本章规定适用于不直接承受动力荷载的固端梁、连续梁以及由实腹构件组成的单层和两层框架结构。 2、采用塑性设计的结构或构件,按承载能力极限状态设计时,应采用荷载的设计
查看详情1、结构运送单元的划分,除应考虑结构受力条件外,尚应注意经济合理,便于运输、堆放和易于拼装。 2、结构的安装连接应采用传力可靠、制作方便、连接简单、便于调整的构造形式
查看详情