全国服务热线:0311-85523085 15081199127

您的位置: 首页 > 新闻资讯 > 公司新闻
容许长细比和构造要求
发布时间:2018-12-13 14:14:48 | 浏览次数:
1、受压构件的长细比不宜大于130√235/fy  
2、在构件出现塑性铰的截面处,必须设置侧向支承。该支承点与其相邻支承点间构件的长细比λy应符合下列要求:
当-1≤M1/Wpxf≤0.5时:
 
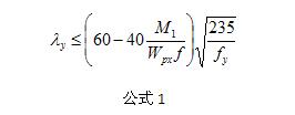
当0.51/Wpxf≤1.0时:
 
式中 λy——弯矩作用平面外的长细比,λy=l1/iy,l1为侧向支承点间距离,iy为截面回转半径;
M1——与塑性铰相距为l1的侧向支承点处的弯矩;当长度l1内为同向曲率时,M1/(Wpxf)为正;当为反向曲率时,M1/(Wpxf)为负。
对不出现塑性铰的构件区段,其侧向支承点间距应由本规范第4章和第5章内有关弯矩作用平面外的整体稳定计算确定。
3、用作减少构件弯矩作用平面外计算长度的侧向支承,其轴心力应分别按本规范第4.2.6条或第5.2.8条确定。
4、所有节点及其连接应有足够的刚度,以保证在出现塑性铰前节点处各构件间的夹角保持不变。
构件拼接和构件间的连接应能传递该处最大弯矩设计值得1.1倍,且不得低于0.25Wpxf。
5、当板件采用手工气割或剪切机切割时,应将出现塑性铰部位的边缘刨平。
当螺栓孔位与构件塑性铰部位的受拉板件上时,应采用钻成孔或先冲后扩钻孔。