全国服务热线:0311-85523085 15081199127

您的位置: 首页 > 新闻资讯 > 公司新闻
钢结构梁与柱的刚性连接的相关规定
发布时间:2018-11-17 15:00:30 | 浏览次数:
一、当工字形梁翼缘采用焊透的T形对接焊缝而腹板采用摩擦型连接高强度螺栓或焊缝与H形柱的翼缘相连,满足下列要求时,柱的腹板可不设置横向加劲肋:
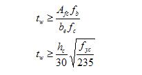
1、在梁的受压翼缘处,柱腹板厚度tw应同时满足:
 
公式1
式中 Afc——梁受压翼缘的截面积;
     fc——柱钢材抗拉、抗压强度设计值;
     fb ——梁钢材抗拉、抗压强度设计值;
     be——在垂直于柱翼缘的集中压力作用下,柱腹板计算高度边缘处压应力的假定分布长度。
     hc——柱腹板的宽度;
     fyc——柱钢材屈服点。
2、在梁的受拉翼缘处,柱翼缘板的厚度tc应满足:
tc≥0.4√Aftfb/fc
公式2
式中 Aft——梁受拉翼缘的截面积。
二、由柱翼缘与横向加劲肋包围的柱腹板节点域应按下列规定计算:
1、抗剪强度应按下式计算:
 

式中 Mb1 Mb2——分别为节点两侧梁端弯矩设计值;
     Vp——节点域腹板的体积。柱为H形或工字形截面时,Vp=hbhctw,柱为箱形截面时,Vp=1.8hbhctw
tw——柱腹板厚度;
hb——梁腹板高度。
当柱腹板节点域不满足公式3的要求时,对H形或工字形组合柱宜将腹板在节点域加厚。腹板加厚的范围应伸出梁上、下翼缘外不小于150mm处。对轧制H型钢或工字钢柱,亦可贴焊补强板加强。补强板上下边可不伸过柱腹板的横向加劲肋或伸过加劲肋之外各150mm。补强板与加劲肋连接的角焊缝应能传递补强板所分担的剪力,焊缝的计算厚度不宜小于5mm。当补强板伸过加劲肋时,加劲肋仅与补强板焊接,此焊缝应能将加劲肋传来的剪力全部传给补强板,补强板侧边应用角焊缝与柱翼缘相连,其板面尚应采用塞焊与柱腹板连成整体,塞焊点之间的距离不应大于较薄焊接厚度的21√235/fy倍。对轻型结构亦可采用斜向加劲肋加强。
2、腹板的厚度tw应满足下式要求:
 

三、梁柱连接节点处柱腹板横向加劲肋应满足下列要求:
1、横向加劲肋应能传递梁翼缘传来的集中力,其厚度应为梁翼缘厚度的0.5~1.0倍;其宽度应符合传力、构造和板件宽厚比限值得要求。
2、横向加劲肋的中心线应与梁翼缘的中心线对准,并用焊透的T形对接焊缝与柱翼缘连接。当梁与H形或工字形截面柱的腹板垂直相连形成刚接时,横向加劲肋与柱腹板的连接也宜采用焊透对接焊缝。
3、箱形柱中的横向加劲隔板与柱翼缘的连接,宜采用焊透的T形对接焊缝,对无法进行电弧焊的焊缝,可采用熔化嘴电渣焊。
4、当采用斜向加劲肋来提供节点域的抗剪承载力时,斜向加劲肋及其连接应能传递柱腹板所能承担剪力之外的剪力。