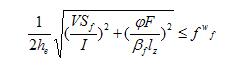
1、组合工字梁翼缘与腹板的双面角焊缝连接,其强度应按下式计算:
公式1
式中 Sf——所计算翼缘毛截面对梁中和轴的面积矩;
I——梁的毛截面惯性矩。
公式1中,F、φ和lz应按4.1.3条采用;βf应按7.3.1条采用。
注:1 当梁上翼缘受有固定集中荷载时,宜在该处设置顶紧上翼缘的支承加劲肋,此时取F=0.
2 当腹板与翼缘的连接焊缝采用焊透的T形对接与角接组合焊缝时,其强度可不计算。
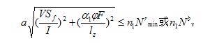
2、组合工字梁翼缘与腹板的铆钉(或摩擦型连接高强度螺栓)的承载力,应按下式计算:
公式2
式中 a——翼缘铆钉(或螺栓)间距;
α1——系数;当荷载F作用于梁上翼缘而腹板刨平顶紧上翼缘板时,α1=0.4;其他情况,α1=1.0;
n1——在计算截面处铆钉(或螺栓)的数量;
Nrmin——一个铆钉的受剪和承压承载力设计值得较小值;
Nbv——一个摩擦型连接的高强度螺栓的受剪承载力设计值。
注:当梁上翼缘受有固定集中荷载时,宜在该处设置顶紧上翼缘的支承加劲肋,此时取F=0。
|