一、焊缝应根据结构的重要性、荷载特性、焊缝形式、工作环境以及应力状态等情况,按下述原则分别选用不同的质量等级:
1、在需要进行疲劳计算的构件中,凡对接焊缝均应焊透,其质量等级为:
(1)作用力垂直于焊缝长度方向的横向对接焊缝或T形对接于角接组合焊缝,受拉时应为一级,受压时应为二级;
(2)作用力平行于焊缝长度方向的纵向对接焊缝应为二级。
2、不需要计算疲劳的构件中,凡要求与母材等强的对接焊缝应予焊透,其质量等级当受拉时应不低于二级,受压时宜为二级。
3、重级工作制和起重量Q≧50t的中级工作制吊车梁的腹板与上翼缘之间以及吊车桁架上弦杆与节点板之间的T形接头焊缝均要求焊透,焊缝形式一般为对接与角接的组合焊缝,其质量等级不应低于二级。
4、不要求焊透的T形接头采用的角焊缝或部分焊透的对接与角接组合焊缝,以及搭接连接采用的角焊缝,其质量等级为:
(1)对直接承受动力荷载且需要验算疲劳的结构和吊车起重量等于或大于50t的中级工作制吊车梁,焊缝的外观质量标准应符合二级;
(2)对其他结构,焊缝的外观质量标准可为三级。
二、对接焊缝或对接与角接组合焊缝的强度计算。
1、在对接接头和T形接头中,垂直于轴心拉力或轴心压力的对接焊缝或对接与角接组合焊缝,其强度应按下式计算:
σ =N/lwt≦fwt或fwc
公式1
式中 N——轴心拉力或轴心压力;
Lw——焊缝长度;
t——在对接接头中为连接件的较小厚度;在T形接头中为腹板的厚度;
fwt 、fwc——对接焊缝的抗拉、抗压强度设计值。
2、在对接接头和T形接头中,承受弯矩和剪力共同作用的对接焊缝或对接与角接组合焊缝,其正应力和剪应力应分别进行计算。但在同时受有较大正应力和剪应力处(例如梁腹板横向对接焊缝的端部),应按下式计算折算应力:
√σ2+3τ2≦1.1fwt
公式2
注:1当承受轴心力的板件用斜焊缝对接,焊缝与作用力间的夹角θ符合tanθ≤1.5时,其强度可不计算。
2 当对接焊缝和T形对接与角接组合焊缝无法采用引弧板和引出板施焊时,每条焊缝的长度计算时应各减去2t。
三:直角角焊缝的强度计算。
1、在通过焊缝形心的拉力、压力或剪力作用下:
正面角焊缝(作用力垂直于焊缝长度方向):
σ =N/helw≦βffwf
公式3
侧面角焊缝(作用力平行于焊缝长度方向):
τf=N/helw≦fwf
公式4
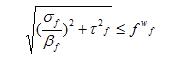
2、在各种力综合作用下,σf和 τf共同作用处:
公式5
式中 σf ——按焊缝有效截面(helw)计算,垂直于焊缝长度方向的应力;
τf ——按焊缝有效截面计算,沿焊缝长度方向的剪应力;
he——角焊缝的计算厚度,对直角角焊缝等于0.7hf,hf为焊脚尺寸(图1)
lw——角焊缝的计算长度,对每条焊缝取其实际长度减去2hf;
fwf——角焊缝的强度设计值;
βf——正面角焊缝的强度设计值增大系数:对承受静力荷载和间接承受动力荷载的结构,βf =1.22;对直接承受动力荷载的结构,βf =1.0。
图1 直角角焊缝截面
四、两焊脚边夹角α为60°≤α≤135°的T形接头,其斜角角焊缝(图2)的强度应按公式3至公式5计算,但取βf=1.0,其计算厚度为:he=hfcosα/2(根部间隙b、b1或b2≤1.5mm)或he=[hf-b(或b1、b2)/sinα]cosα/2(b、b1或b2>1.5mm但≤5mm)。
图2-1 T形接头的斜角角焊缝截面

图2-2 T形接头的根部间隙和焊缝截面
五、部分焊透的对接焊缝(图3a、b、c、d、e)和T形对接与角接组合焊缝(图3c)的强度,应按角焊缝的计算公式3至公式5计算,在垂直于焊缝长度方向的压力作用下,取βf=1.22,其他受力情况取βf=1.0,其计算厚度应采用:
V形坡口(图3a):当α≥60°时,he=s;当α<60°时,he=0.75s。
单边V形和K形坡口(图3b、c):当α=45°±5°,he=s-3。
U形、J形坡口(图3d、e):he=s。

图3 部分焊透的对接焊缝和其与角焊缝的组合焊缝截面
S为坡口深度,即根部至焊缝表面(不考虑余高)的最短距离(mm);α为V形、单边V形或K形坡口角度。
当熔合线处焊缝截面边长等于或接近于最短距离s时(图3b、c、e),抗剪强度设计值应按角焊缝的强度设计值乘以0.9 。
|