1、符合下列情况之一时,可不计算梁的整体稳定性:
(1)有铺板(各种钢筋混凝土板和钢板)密铺在梁的受压翼缘上并与其牢固相连、能阻止梁受压翼缘的侧向位移时。
(2)H型钢或等截面工字形简支梁受压翼缘的自由长度l1与其宽度b1之比不超过表1所规定的数值时。
表1 H型钢或等截面工字形简支梁不需计算
整体稳定性的最大l1/b1值
|
钢号 |
跨中无侧向支承点的梁 |
跨中受压翼缘有侧向支承点的梁,不论荷载作用于何处 |
|
荷载作用在上翼缘 |
荷载作用在下翼缘 |
|
Q235 |
13.0 |
20.0 |
16.0 |
|
Q345 |
10.5 |
16.5 |
13.0 |
|
Q390 |
10.0 |
15.5 |
12.5 |
|
Q420 |
9.5 |
15.0 |
12.0 |
注:其他钢号的梁不需计算整体稳定性的最大l1/b1值,应取Q235钢的数值乘以√235/fy 。对跨中无侧向支承点的梁,l1为其跨度;对跨中有侧向支承点的梁,l1为受压翼缘侧向支承点间的距离(梁的支座出视为有侧向支承)。
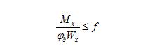
2、除1条所指情况外,在最大刚度主平面内受弯的构件,其整体稳定性应按下式计算:
公式2
式中 Mx——绕强轴作用的最大弯矩;
Wx——按受压纤维确定的梁毛截面模量;
Φb——梁的整体稳定性系数,应按附录B确定。
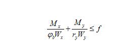
3、除1条所指情况外,在两个主平面受弯的H型钢截面或工字形截面构件,其整体稳定性应按下式计算:
公式3
式中 WX 、Wy——按受压纤维确定的对x轴和对y轴毛截面模量;
Φb——绕强轴弯曲所确定的梁整体稳定系数,见2条。
4不符合1条1款情况的箱形截面简支梁,其截面尺寸图4应满足h/b0≤6,l1/b0≤95(235/fy).
符合上述规定的箱形截面简支梁,可不计算整体稳定性。

图4
5 梁的支座处,应采取构造措施,以防止梁端截面的扭转。
6用作减小梁受压翼缘自由长度的侧向支撑,其支撑力应将梁的受压翼缘视为轴心压杆按5.1.7条计算。
|