全国服务热线:0311-85523085 15081199127

您的位置: 首页 > 新闻资讯 > 公司新闻
轻钢别墅的性能试验
发布时间:2018-10-31 16:15:18 | 浏览次数:
1、本节的试验适用于整体结构、结构局部、单根构件或连接件等原型试件,可对设计进行验证以作为计算的一种替代;本节的试验不适用于结构模型试验,也不适用于总体设计准则的确立。
2、试件应于结构验证需要的试件类别和名义尺寸相同。试件的材料与制作应遵守相关标准的规定及设计提出的要求。组装方法应与实际产品相同。
3、墙体的抗剪试验尚应符合本规程附录B的规定。
4、试验的目标试验荷载Rt应由下式确定:
Rt=ktS*
式中:S*——荷载效应设计值;应符合现行国家标准《建筑结构荷载规范》GB50009和《建筑抗震设计规范》GB50011的规定;
Kt——考虑结构试件变异性的因子,可根据本规程第13.2.5条确定的结构特性变异系数ksc按表13.2.4插值采用。
表13.2.4考虑结构试件变异性的因子Kt

试件
数量
结构特性变异系数ksc
5% 10% 15% 20% 25% 30%
1 1.18 1.39 1.63 1.92 2.25 2.63
2 1.13 1.27 1.42 1.60 1.79 2.01
3 1.10 1.22 1.34 1.48 1.63 1.79
4 1.09 1.19 1.29 1.40 1.52 1.65
5 1.08 1.16 1.25 1.35 1.45 1.56
10 1.05 1.10 1.16 1.22 1.28 1.34
100 1.00 1.00 1.00 1.00 1.00 1.00
 
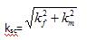
5、结构特性变异系数
式中:kf——几何尺寸不定性变异系数,对于构件可取0.05;对于连接可取0.10;
      Km——材料强度不定性变异系数,对于Q235级钢可取0.05;对于连接可取0.10;对于未列入本规程的钢材,其值应由使用材料的统计分析确定。
6、试验应符合下列规定:
(1)加载设备应校准,并注意确保荷载系统对试件无附加约束,施加的力的分布和持续时间应能代表结构设计所承受的荷载。对短期静力荷载,试验荷载应以均匀速率加载,持续试验时间不应少于5min。
(2)应至少在下列时刻记录变形:
1)加载前;
2)加载后;
3)卸载后。
7、具体产品和组件的承载力设计值可通过原型试验确定,所有试件必须在目标试验荷载下符合各种设计要求,承载力设计值应由下式确定:
                     
式中:Rd——承载力设计值;
      Rmin——试验结果的最小值;
    Kt——考虑结构试件变异性的因子,根据结构特性变异系数ksc按本规程表13.2.4取用。